3.5. Pharmacokinetic Modeling
3.5.1. Modeling approaches
There are three approaches that have been suggested for pharmacokinetic modeling, compartmental, physiological and model-independent.
The first is an empirical approach, which is based on a simple compartmental model. These compartments have no strict physiological or anatomic basis. The compartment can represent a body volume, or just as easily it could represent a chemical state, for example a metabolite of the drug. Usually this approach uses one or two compartments. Despite its simplistic nature, many useful quantities can be derived using this approach and by comparing predicted values with actual data.
The physiological model identifies the compartments with actual body spaces. The model is a great deal more complex than the compartmental models. Actual transfer and flow rates are employed together with experimentally measured blood/tissue concentration ratios. This model can be used for predictions, and is more adaptable to clinical therapy and to changing situations such as alterations of flow rates due to conditions such as swelling, or fever. Scale up is more easily from one species to another, which is convenient since most of the required measurements must be performed in animals.
The model independent approach is the most recent, and is purely mathematical. It avoids recourse to kinetic parameters which may not be valid, and is a lot less complex. It is good for adsorption and elimination rates, and clearances, but gives no specific information about how the drug is distributed.
3.5.2. One Compartment Open Model
This approach models the entire body as a single compartment into which drug is added by a rapid single dose, or bolus. It is assumed that the drug concentration is uniform in the body compartment at all times and is eliminated by a first order process that is described by a first order rate constant kel. The model is shown in figure 3.5.1.

Figure 3.5.1. Basis of the one compartment open model
Analysis of this model relies on a simple mass balance .

This is a first order rate equation, which can be solved by a plot of ln C against time

Figure 3.5.2. Graphical treatment of plasma concentration with time to obtain kel and VD
The one compartment model fails to describe the actual drug disposition when, for example, a particular organ has a small, but strong affinity for a drug, which does not affect the overall plasma concentration, but which leads to toxicity on repeated doses. If this area is the site of drug action, the effect could continue after blood levels had subsided.
3.5.2.1. One Compartment Model: Oral Administration
When a drug is taken orally as a tablet, the drug has to dissolve and be absorbed by the gut. This is often a first order process, and this should be accounted for by a first order absorption term in the kinetic analysis, as shown in figure 3.5.3:

Figure 3.5.3. One compartment model with first order absorption

3.5.3. Two compartment model
Often drug does not distribute evenly amongst all the organs. To account
for this a two compartment model is used in which drug disposition is biexponential.
The drug is assumed to distribute into a second compartment but be eliminated
from the first compartment only. This is obviously a simplification of the
situation in the body, but it can give some data on rates in and out of
specific organs. The plasma drug concentration initially declines quite
rapidly due to elimination from the plasma and distribution into the second
compartment, which can comprise several organs. This phase is called the
a phase. Once equilibrium is reached, the plasma drug level declines more
slowly due to elimination alone, in what is termed the
phase. This is
illustrated in figure 3.5.4.

Figure 3.5.4. Plasma-Tissue drug profile that obeys the two compartment model
In the two compartment model, again a rapid bolus of drug is assumed. Also a first order transfer is assumed between compartments and first order elimination from the blood compartment, with no elimination or metabolism in the tissue. The scheme is outlined in figure 3.5.5.

Figure 3.5.5. Two compartment open model
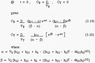
The kinetic equations for this case are as follows:

Integration with boundary conditions,

This represents the biexponential semilog concentration/time plot that is expected with the two compartment model and is shown in figure 3.5.6.

Figure 3.5.6. Method of fitting data to biexponential curve
When experimental data is fitted to the semilog curve, a best fit straight
line is generated from the long times points (phase) points, and the
resulting slope is -
. When line 2 is subtracted from the remaining
short time data points, the slope of the resulting line 1 is -
.
This technique is known as curve stripping. From the intercepts I1
and I2 of these lines, we can obtain kinetic parameters
as:

Comparing these equations with those for the one compartment model, we
can see that drugs with a very shortphase, (rapid distribution) the
model approaches that of the one compartment model.
3.5.4. Constant IV Infusion: One Compartment Model
Drugs are not always administered by a rapid bolus, as assumed in these models. A frequent mode of drug administration is by a continuous intravenous infusion, In this case a steady state of plasma drug concentration is achieved. For the one compartment model, we assume a zero order infusion rate constant ko. The analysis follows:

3.5.5. Constant IV Infusion: Two Compartment Model
For the two compartment model and identical expression can be derived for steady state concentration in the body compartment:
The equivalent expression for the tissue compartment is derived as:
3.5.6. Sustained Release Formulation: One compartment model
Many of the drugs that one can purchase over the counter (OTC drugs) are available is sustained release formulations. The vehicle in which they are supplied has been modified so that not all of the drug is available for absorption. This means that some fraction of the drug fi, is available immediately, and some fraction fr, [fr = (1-fi)] is released with first order kinetics, described by a constant kr as illustrated in figure 3.5.7..

Figure 3.5.7. One Compartment model for a sustained release formulation

For the concentration of drug in the gut:

therefore:
![]()
For the concentration of drug in the body:

This reduces to the expression for oral administered dose with an absorption term, equation (3.16) when fr = 0 and fi = 1, and B = CB Vd. Experimentally one can measure fr, fi and kr in vitro for a sustained release formulation and measure CB (plasma concentration) after administration in animal or human. These data are then fit to find kel, ka and Vd. An example that appeared in the literature was given by Wiegand and Taylor (1960) Biochemic. Pharmacol. 3: 256 for the drug 1-(o-methoxy propyl)-4-(g-methoxypropyl) piperazine phosphate.

Figure 3.5.8. Comparison of sustained-release tablet and solution kinetics in six dogs. Initial dose is shown on the graph.